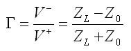
The load can be an antenna, filter or other equipment connected to a transmission line.
Both decimal point and comma are ok.
Cable impedance ohm
Load serial resistance and reactance ohm
      Clear
NaN means error.
           
